您好,欢迎访问河南专升本,我们将竭诚为您服务!
APP下载
抖音
微博
微信
400-6529-888
河南
内蒙古
安徽
江西
山东
河南
广东
四川
贵州
云南
陕西
首页
院校库
招生计划
分数线
课程中心
题库
图书
更多资讯
考试政策
考试真题
招生专业
考试科目
模拟试题
志愿填报
备考经验
专升本问答
考试时间
考试报名
考试大纲
学习中心
登录/注册
短信验证码登录
获取验证码
登录/注册
阅读并同意
《用户协议》
《售后政策》
《隐私政策》
未注册的手机号,登录即注册
当前位置:
库课网校
>
考试真题
>
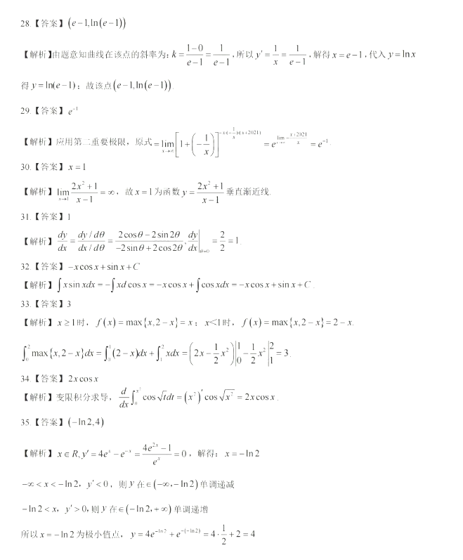
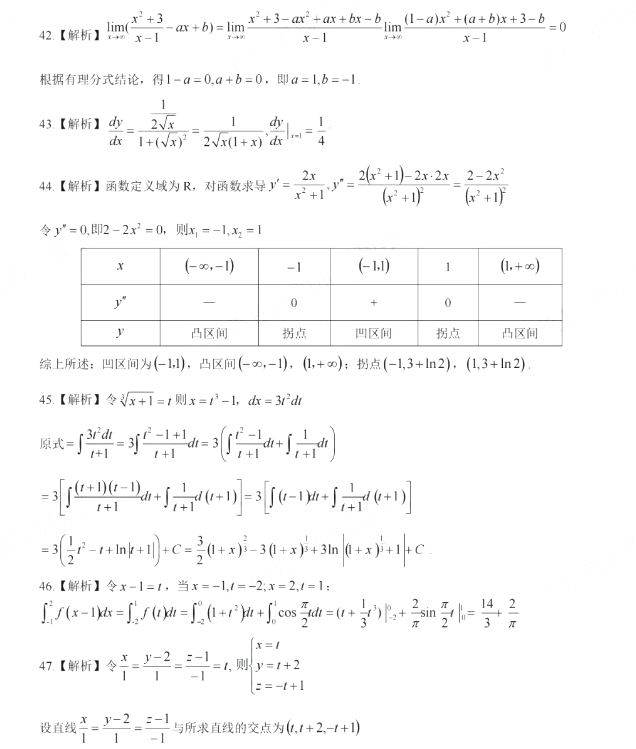
河南专升本高数真题及答案解析2021
河南专升本高数真题及答案解析2021
2023-09-22 10:16:16
浏览量:431次
分享至
河南专升本考试
没有大纲可参考,考生如想取得好成绩,历年真题是非常重要的,下面库课李老师给考生整理了
河南专升本
高数真题及答案解析2021,希望对考生有帮助。
专升本备考资料
免费
领取↓↓↓
热门标签:
专升本高数备考
专升本真题练习
专升本真题
河南专升本
上一篇:
河南专升本高数2023年真题及答案解析
下一篇:
河南专升本高数真题及答案解析2022
资料下载
2025年河南省专升本大学语文真题(回忆版)
下载
2025年河南省专升本法学基础真题(考生回忆版)
下载
2025年河南省专升本高等数学真题试卷(回忆版)
下载
2025年河南省专升本公共英语真题(回忆版)
下载
2025年河南省专升本教育理论真题(回忆版)
下载
2025年河南省专升本经济学真题(回忆版)
下载
2025年河南省专升本生理学、病理解剖学真题回忆版
下载
2025年河南省专升本专业英语回忆版真题
下载
2025学年河南专升本管理学真题
下载
2024年教育理论专升本真题及答案
下载
相关推荐
河南专升本英语真题及答案
河南专升本英语阅读理解真题练习
2026河南专升本考试大纲
河南专升本英语真题练习
2026年河南专升本英语阅读理解真题练习
2026年河南专升本心理学真题考前冲刺练习
2026年河南专升本管理学真题考前冲刺练习
2026年河南专升本英语阅读理解真题练习题
报考相关推荐
限时好课
免费直播
0元题库
考试科目
院校库
历年真题
模拟试题
备考经验
报考指导
热门资讯
2026河南专升本英语考前速记
河南专升本英语猜题技巧
2026河南专升本民办院校各专业最低分数线参考
河南专升本英语常见知识汇总
2026河南专升本英语真题高频词汇
河南省2026年普通高校招生艺术类专业考试(含专升本、对口招生)温馨提醒
最新资讯
2026河南专升本英语考前速记
河南专升本英语猜题技巧
河南专升本英语真题及答案
2026河南专升本这些专业低于100分也能上岸
河南专升本冷门专业有哪些
河南专升本英语高频核心单词考前速记
推荐关注
专升本考试时间
河南专升本
专升本考试科目
专升本人数
郑州师范学院专升本
安阳工学院专升本
河南财经政法大学专升本
公司地址:郑州市文化路112号库课科技大厦
服务热线: 400-6529-888
关于我们
关于我们
联系我们
法律声明
网站地图
帮助中心
支付问题
售后政策
用户协议
常见问题
商务合作
机构合作
产品中心
在线课程
精品题库
图书超市
应用下载
下载库课网校app